| ( | | ) | 1.
| 下列設備,何者可以讓我們在只有一個 IP 的狀況下,提供多部電腦上網?(1)集線器(Hub)
(2)IP 分享器
(3)橋接器(Bridge)
(4)數據機(Modem)
|
| ( | | ) | 2.
| 微處理器與外部連接之各種訊號匯流排,何者具有雙向流通性?(1)資料匯流排
(2)位址匯流排
(3)控制匯流排
(4)狀態匯流排
|
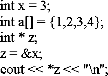
| ( | | ) | 3.
| 下列 C/C++程式片段,執行後 x 值為何? (1)1
(2)2
(3)3
(4)0
|
| ( | | ) | 4.
| 下列何者為受僱來嘗試利用各種方法入侵系統,以發覺系統弱點的技術人員?(1)電腦蒐證(Collection of Evidence )專家
(2)密碼學(Cryptography)專家
(3)黑帽駭客(Black Hat Hacker)
(4)白帽駭客(White Hat Hacker)
|
| ( | | ) | 5.
| 有關資料儲存媒體之敘述,下列何者正確?(1)儲存資料之光碟片,可以直接用餐巾紙沾水以同心圓擦拭,以保持資料儲存良好狀況
(2)MO (MagneticOptical)光碟機所使用的光碟片,外型大小及儲存容量均與 CD-ROM 相同
(3)RAM 是一個經設計燒錄於硬體設備之記憶體
(4)可消除及可規劃之唯讀記憶體的縮寫為 EPROM
|
| ( | | ) | 6.
| 下列何者屬於揮發性記憶體?(1)RAM
(2)Hard Disk
(3)Flash Memory
(4)ROM
|
| ( | | ) | 7.
| 有關對稱性加密法與非對稱性加密法的比較之敘述,下列何者「不正確」?(1)RSA 屬於對稱性加密法
(2)使用非對稱性加密法時,每個人各自擁有一對公開金匙與祕密金匙,欲提供認證性時,使用者將資料用自己的祕密金匙加密送給對方,對方再用相對的公開金匙解密
(3)對稱性加密法速度較快
(4)非對稱性加密法安全性較高
|
| ( | | ) | 8.
| 有 A、B 兩個大小相同的檔案,A 檔案儲存在硬碟連續的位置,而 B 檔案儲存在硬碟分散的位置,因此 A 檔案的存取時間比 B 檔案少,下列何者為主要影響因素?(1)搜尋時間(SeekTime)
(2)CPU 執行時間(Execution Time)
(3)記憶體存取時間(Memory Access Time)
(4)傳送時間(Transfer Time)
|
| ( | | ) | 9.
| IPv6 網際網路上的 IP address,每個 IP address 總共有幾個位元組?(1)4Bytes
(2)8 Bytes
(3)16 Bytes
(4)20 Bytes
|
| ( | | ) | 10.
| 在 OSI(Open System Interconnection)通信協定中,電子郵件的服務屬於下列哪一層?(1)交談層(Session Layer)
(2)表示層(Presentation Layer)
(3)應用層(Application Layer)
(4)傳送層(Transport Layer)
|
| ( | | ) | 11.
| 下列何者為 Class A 網路的內定子網路遮罩?(1)255.255.0.0
(2)255.255.255.0
(3)255.255.255.255
(4)255.0.0.0
|
| ( | | ) | 12.
| 根據美國國家標準與技術研究院(NIST)對雲端的定義,下列何者「不是」雲端運算(Cloud Computing)之服務模式?(1)內容即服務(Content as aService, CaaS)
(2)基礎架構即服務(Infrastructure as a Service, IaaS)
(3)平台即服務(Platform as a Service, PaaS)
(4)軟體即服務(Software as aService, SaaS)
|
| ( | | ) | 13.
| 有關電腦病毒傳播方式,下列何者正確?(1)不隨意安裝來路不明的軟體,以降低感染電腦病毒的風險
(2)病毒無法透過即時通訊軟體傳遞
(3)只要電腦有安裝防毒軟體,就不會感染電腦病毒
(4)病毒不會透過電子郵件傳送
|
| ( | | ) | 14.
| 下列何者「不是」多人多工之作業系統?(1)Windows Server
(2)Linux
(3)Solaris
(4)MS-DOS
|
| ( | | ) | 15.
| 有關 xxx@abc.edu.tw 之敘述,下列何者「不正確」?(1)abc.edu.tw 代表某個電子郵件伺服器
(2)它代表一個電子郵件地址
(3)若為了方便,可以省略@
(4)xxx 代表一個電子郵件帳號
|
| ( | | ) | 16.
| 有關 C/C++語言中變數及常數之敘述,下列何者「不正確」?(1)常數存放固定數值,可以是整數、浮點、字串的資料型態
(2)程式中可以操作、改變常數值
(3)變數用來存放資料,以利程式執行,可以是整數、浮點、字串的資料型態
(4)程式中可以操作、改變變數的值
|
| ( | | ) | 17.
| 下列何種 IEEE Wireless LAN 標準的傳輸速率最低?(1)802.11a
(2)802.11b
(3)802.11g
(4)802.11n
|
| ( | | ) | 18.
| 有關電腦病毒之敘述,下列何者正確?(1)電腦病毒入侵電腦之後,在關機之後,病毒仍會留在 CPU 及記憶體中
(2)使用偵毒軟體是避免感染電腦病毒的唯一途徑
(3)電腦病毒是一種程式,可經由隨身碟、電子郵件、網路散播
(4)電腦病毒是一種黴菌,會損害電腦組件
|
| ( | | ) | 19.
| 如果一個僱員必須被停職,他的網路存取權應在何時關閉?(1)停職後二週
(2)給予他停職通知前
(3)不需關閉
(4)停職後一週
|
| ( | | ) | 20.
| 字母"B"的 ASCII 碼以二進位表示為"01000010",若電腦傳輸內容為"101000010",以便檢查該字母的正確性,則下列敘述何者正確?(1)不做任何正確性的檢查
(2)使用奇數同位元檢查
(3)使用偶數同位元檢查
(4)使用二進位數檢查
|